Маркировка выводных конденсаторов
На данный момент нет единого стандарта обозначений ёмкости выводных конденсаторов. На практике чаще всего применяется два варианты кодировки номинальной ёмкости выводных конденсаторов.
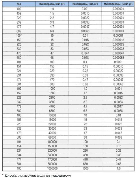
Выводные конденсаторы наиболее часто маркируются следующим образом: первые две цифры указывают на значение емкости в пикофарадах (пФ), последняя — количество нулей. Когда конденсатор имеет емкость менее 10 пФ, то последней цифрой указывается "9". При емкостях меньше 1.0 пф первая цифра "0".
Возможен вариант кодирования четырёхзначным числом. В этом случае последняя цифра также указывает количество нулей, а первые три — емкость в пикофарадах (pF).
Выводные конденсаторы наиболее часто маркируются следующим образом: первые две цифры указывают на значение емкости в пикофарадах (пФ), последняя — количество нулей. Когда конденсатор имеет емкость менее 10 пФ, то последней цифрой указывается "9". При емкостях меньше 1.0 пф первая цифра "0".
Возможен вариант кодирования четырёхзначным числом. В этом случае последняя цифра также указывает количество нулей, а первые три — емкость в пикофарадах (pF).