Теория резонансов корпусов громкоговорителей
Прим. редактора: Данная статья является вольным переводом статьи из Journal of Audio Engineering Society (JAES) за 1973 год, однако своей актуальности она до сих пор не потеряла.
Наиболее распространенная система громкоговорителя состоит из одной или нескольких головок прямого излучения, смонтированных на одной из панелей корпуса прямоугольной формы. Все компоненты этой системы вносят вклад в итоговое качество звучания. Цель данной публикации - представить некоторые рассуждения относительно рационального проектирования панелей корпусов.
Резонансы корпусов могут создавать проблемы при звуковоспроизведении. Тем не менее, теоретические изыскания в области рационального проектирования панелей довольно ограничены. Peter Tappan и James Moir изучали проблему, и ходе дальнейшего изложения я буду ссылаться на их работы.
Стенки корпусов акустических систем выполняют конструктивную функцию в качестве несущего элемента для динамиков, эстетическую функцию создания благоприятного впечатления от внешнего вида, а также акустическую функцию обеспечения воздушной «пружины» позади диффузора излучателя и противодействия распространению звука, излучаемого задней стороной диффузора. К сожалению, стенки корпуса под влиянием внешних воздействий сами по себе могут начать вибрировать и выступать в роли акустических излучателей, что, скорее всего, изменит предполагаемые характеристики системы. Возбуждение стенок может происходить несколькими способами, наиболее важные из которых:
fSS – основная частота колебаний пластины со свободно опертыми краями;
fC – основная частота колебаний пластины с жестко зафиксированными краями;
a, b – длина и ширина пластины;
ρ - удельная масса панели на единицу площади;
D - коэффициент, учитывающий материал пластины, рассчитывается по следующей формуле:
h – толщина пластины;
ν - коэффициент Пуассона (отношение продольной и поперечной деформаций)
Таппан показывает экспериментально определенные частоты для стальных пластин в сочетании с разными вариантами распорок. Чтобы проверить пригодность предыдущих формул, по ним были рассчитаны основные частоты для трех прямоугольных панелей из примеров, изученных Таппаном. Сравнение теоретически рассчитанных значений частот и результатов экспериментов приведено на рис. 1:
Как видно, расхождение составляет около 20%, что, как ни странно, только подтверждает хорошую согласованность между результатами, учитывая не слишком точное знание граничных условий. Приведённые выше формулы также были использованы, чтобы рассчитать данные для графиков на рис. 2, на которых показана зависимость основной частоты колебаний от длины панелей для различных соотношений длины к ширине:
Лейсс обсуждает возможность того, что в квадратных пластинах со свободно опирающимися краями колебания на частоте второй гармоники могут возникать одновременно «парами» в разных частях пластины. Амплитуда этих колебаний становится функцией начальных условий и может различаться. Следовательно, возникает мысль о том, что панели квадратной формы использовать не рекомендуется.
Для проверки данных рис. 2 был изготовлен пробный корпус объемом 5000 куб. дюймов (~82 л.), верхняя, нижняя и боковые стенки которого сделаны из фанеры толщиной ¾ дюйма, отделанной шпоном древесины грецкого ореха, задняя панель выполнена из ДСП толщиной ½ дюйма, а передняя – из ДСП толщиной ¾ дюйма. Для тестирования внутрь этого корпуса поместили громкоговоритель небольшого размера. Громкоговоритель механически развязан от корпуса посредством «подушки» из гофрированной бумаги и подключен к генератору, как показано на рис. 4.
Также рис. 4 иллюстрирует использование контактного звукоснимателя (применяются в акустических гитарах), вольтметра и осциллографа для измерения относительного смещения панелей. При помощи фигур Лиссажу на экране осциллографа можно определить изменение фазы колебаний, как это происходит при перемещении звукоснимателя по линиям узлов.
Первый резонанс был обнаружен у задней стенки на частоте 120 Гц. Полудюймовая задняя панель была размером 28 на 16 дюймов, и по данным рис. 2 можно предсказать резонанс на частоте приблизительно 138 Гц. Второй резонанс был найден на частоте 180 Гц, а основная частота передней панели по данным рис. 2 оценивается в 200 Гц. Дополнительные резонансы возникали на частотах 315 Гц, 386 Гц, 400 Гц и далее вплоть до частоты 1200 Гц. В диапазоне частот выше 1200 Гц наблюдались очень небольшие колебания корпуса. Это подтверждает, что моды с более высокими частотами возбуждаются труднее. Предполагалось, что основные резонансные частоты для боковой и верхней панелей будут составлять примерно 440 и 500 Гц. Измерения же контактным звукоснимателем показывают, что резонансы возникают на частотах 386 Гц и 400 Гц для боковой и верхней панелей соответственно. Трудность в определении подлинных значений для констант, описывающих свойства материала (в данном случае – фанеры, которая имеет не гомогенную структуру), вносит свой вклад в заметные расхождения между результатами теоретических расчетов и экспериментальными данными.
Амплитуда давления воздуха в ящике может быть исследована при помощи теории, разработанной Смоллом. Объединение его формул дает:
PB – среднеквадратичное значение давления воздуха в ящике
VB – объем ящика
ρ - плотность воздуха
c – скорость звука в воздухе
Pа – излучаемая мощность
ω - циклическая частота в установившемся режиме.
По данной формуле рассчитаны зависимости давления внутри корпуса от частоты для разных объёмов ящика.
При помощи контактного звукоснимателя резонанс вновь был обнаружен на частоте примерно 120 Гц (соответствующей резонансной частоте задней стенки). Однако, второй резонанс (соответствующий основному передней панели), переместился по частоте с 180 Гц до 130 Гц. Несомненно, что с отверстиями для твитеров и портами, теоретическое предсказание резонансной частоты передней стенки становится чрезвычайно трудным, если не невозможным. Говоря в общем, отверстие уменьшает жесткость панели и, соответственно, снижает ее резонансную частоту так же, как и дополнительная сосредоточенная масса по центру.
Существуют и другие элементы, влияющие на вибрации стенок окончательно изготовленного корпуса. Они включают в себя демпфирование, внутреннее поглощение и дополнительные ребра жесткости.
Демпфирующий эффект присущ всем материалам и варьируется в широких пределах. Следует обратить внимание на два результата от демпфирования. «Затягивание», или стремление стенок продолжать вибрировать на резонансной частоте после того, как исчезла вызвавшая вибрацию сила, предотвращается или уменьшается высоким демпфированием материала панели. Также демпфирование ведет к снижению вибраций панелей и, следовательно, уменьшению интерференции между переизлученной стенкой акустической энергией и предполагаемым выходным сигналом громкоговорителя. Муар [статья в предыдущем номере JAES] обсуждает демпфирующие характеристики древесины разных пород.
Внутреннее поглощение обеспечивается путем заполнения корпуса звукопоглощающими материалами, такими как стекловата или покрытия стенок корпуса этими же материалами. Таппан показывает, как подобный звукопоглощающий материал может уменьшить резонансный отклик панелей. Несмотря на это, снижение на 1 дБ или около того, достигнутое Таппаном, нельзя признать слишком уж значительным, и во многих случаях заполнение корпуса стекловатой не дает такого ощутимого улучшения, как это порой рекламируется.
Ребра жесткости представляются наиболее эффективным из простых способов уменьшения резонансных эффектов. Принимая во внимание рис. 1, можно заметить, что ребро жесткости, выполненное вдоль длинной стороны панели, действует весьма эффективно и дает увеличение резонансной частоты в 2.5-3 раза по сравнению с панелью без таких элементов. По рис. 2 можно определить, что, если максимальное расстояние между ребрами жесткости уменьшить до 25 сантиметров, то основные резонансные частоты панели поднимутся выше 1000 Гц.
Относительно грамотного размещения ребер жесткости и переборок следует сделать несколько замечаний. Стенки корпуса, идентичного протестированному ранее, были дополнительно укреплены планками из сосны сечением 25х50мм, прикрученными шурупами длиной 25мм с интервалом между ребрами жесткости 75мм. Планки устанавливались длинной стороной перпендикулярно панели. Резонансные частоты возросли лишь слегка (на 10-20 Гц). Это подчеркивает, что ребра жесткости должны быть намного более жесткими на изгиб, и, поскольку условия закрепления краев стенки являются наиболее важными, желательна и более высокая жесткость на кручение. Предполагается также, что возможно использование алюминиевых или стальных элементов корпуса, хотя это еще не было исследовано экспериментально.
В заключение следует заметить, что основные резонансные частоты пропорциональны квадратному корню жесткости панели, деленному на массу панели на единицу площади. Это предполагает, что, используя очень жесткий и одновременно легкий материал, можно увеличить основную частоту за пределы «проблемной области». Использование легких панелей «сэндвичевой» конструкции, как предлагает Таппан, может выполнить эту задачу еще лучше, хотя, опять же, пока не получило подтверждения на практике.
Конструкторам корпусов доступны два параметра – свойства материала и размеры панелей. Для увеличения резонансных частот панелей следует выбирать легкие и жесткие материалы, причем размеры неукрепленных участков нужно стараться сокращать до минимума путем грамотного использования ребер жесткости. Вторым способом уменьшения резонансов является использование звукопоглощающего наполнителя или обивки им стенок, а также применение для панелей материалов с высоким демпфированием. Высокое демпфирование предотвращает возникновение «послезвучий» корпуса.
Авторы: Iverson, James K.
JAES Vol. 21, April 1973
Наиболее распространенная система громкоговорителя состоит из одной или нескольких головок прямого излучения, смонтированных на одной из панелей корпуса прямоугольной формы. Все компоненты этой системы вносят вклад в итоговое качество звучания. Цель данной публикации - представить некоторые рассуждения относительно рационального проектирования панелей корпусов.
Резонансы корпусов могут создавать проблемы при звуковоспроизведении. Тем не менее, теоретические изыскания в области рационального проектирования панелей довольно ограничены. Peter Tappan и James Moir изучали проблему, и ходе дальнейшего изложения я буду ссылаться на их работы.
Стенки корпусов акустических систем выполняют конструктивную функцию в качестве несущего элемента для динамиков, эстетическую функцию создания благоприятного впечатления от внешнего вида, а также акустическую функцию обеспечения воздушной «пружины» позади диффузора излучателя и противодействия распространению звука, излучаемого задней стороной диффузора. К сожалению, стенки корпуса под влиянием внешних воздействий сами по себе могут начать вибрировать и выступать в роли акустических излучателей, что, скорее всего, изменит предполагаемые характеристики системы. Возбуждение стенок может происходить несколькими способами, наиболее важные из которых:
- вибрация вследствие изменения давления воздуха в ящике
- вибрация через противодействующую силу от динамика
- вибрация от перемещения других панелей
Вибрация от изменения давления воздуха
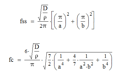
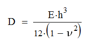
Каждая стенка корпуса работает, во многом, как пластина, на которую действует равномерная нагрузка от давления воздуха в ящике с частотой возбуждения, определяемой головкой. На определенной критической частоте пластина имеет основной резонансный отклик к этой нагрузке, и, несомненно, будет также резонировать на некоторых более высоких частотах. Вибрации панелей являются хорошо изученным предметом, существуют формулы для вычисления основных гармоник прямоугольных пластин, имеющих однородную структуру, с жестко зафиксированными, либо свободно опертыми краями:
fSS – основная частота колебаний пластины со свободно опертыми краями;
fC – основная частота колебаний пластины с жестко зафиксированными краями;
a, b – длина и ширина пластины;
ρ - удельная масса панели на единицу площади;
D - коэффициент, учитывающий материал пластины, рассчитывается по следующей формуле:
h – толщина пластины;
ν - коэффициент Пуассона (отношение продольной и поперечной деформаций)
Примечание редактора
Следует отметить, что в советской практике частота собственных колебаний пластин рассчитывается немного по другой формуле:
В отечественной формуле испоользуются табличный коэффициент c, зависящий от соотношения сторон пластины, а также присутствует коэффициент kэ, учитывающий нагружение пластины (массу элементов на ней). Более подробно данная формула расмотрена в статье о расчёте вибропрочности.
В отечественной формуле испоользуются табличный коэффициент c, зависящий от соотношения сторон пластины, а также присутствует коэффициент kэ, учитывающий нагружение пластины (массу элементов на ней). Более подробно данная формула расмотрена в статье о расчёте вибропрочности.
Таппан показывает экспериментально определенные частоты для стальных пластин в сочетании с разными вариантами распорок. Чтобы проверить пригодность предыдущих формул, по ним были рассчитаны основные частоты для трех прямоугольных панелей из примеров, изученных Таппаном. Сравнение теоретически рассчитанных значений частот и результатов экспериментов приведено на рис. 1:
Как видно, расхождение составляет около 20%, что, как ни странно, только подтверждает хорошую согласованность между результатами, учитывая не слишком точное знание граничных условий. Приведённые выше формулы также были использованы, чтобы рассчитать данные для графиков на рис. 2, на которых показана зависимость основной частоты колебаний от длины панелей для различных соотношений длины к ширине:
Лейсс обсуждает возможность того, что в квадратных пластинах со свободно опирающимися краями колебания на частоте второй гармоники могут возникать одновременно «парами» в разных частях пластины. Амплитуда этих колебаний становится функцией начальных условий и может различаться. Следовательно, возникает мысль о том, что панели квадратной формы использовать не рекомендуется.
Для проверки данных рис. 2 был изготовлен пробный корпус объемом 5000 куб. дюймов (~82 л.), верхняя, нижняя и боковые стенки которого сделаны из фанеры толщиной ¾ дюйма, отделанной шпоном древесины грецкого ореха, задняя панель выполнена из ДСП толщиной ½ дюйма, а передняя – из ДСП толщиной ¾ дюйма. Для тестирования внутрь этого корпуса поместили громкоговоритель небольшого размера. Громкоговоритель механически развязан от корпуса посредством «подушки» из гофрированной бумаги и подключен к генератору, как показано на рис. 4.
Также рис. 4 иллюстрирует использование контактного звукоснимателя (применяются в акустических гитарах), вольтметра и осциллографа для измерения относительного смещения панелей. При помощи фигур Лиссажу на экране осциллографа можно определить изменение фазы колебаний, как это происходит при перемещении звукоснимателя по линиям узлов.
Первый резонанс был обнаружен у задней стенки на частоте 120 Гц. Полудюймовая задняя панель была размером 28 на 16 дюймов, и по данным рис. 2 можно предсказать резонанс на частоте приблизительно 138 Гц. Второй резонанс был найден на частоте 180 Гц, а основная частота передней панели по данным рис. 2 оценивается в 200 Гц. Дополнительные резонансы возникали на частотах 315 Гц, 386 Гц, 400 Гц и далее вплоть до частоты 1200 Гц. В диапазоне частот выше 1200 Гц наблюдались очень небольшие колебания корпуса. Это подтверждает, что моды с более высокими частотами возбуждаются труднее. Предполагалось, что основные резонансные частоты для боковой и верхней панелей будут составлять примерно 440 и 500 Гц. Измерения же контактным звукоснимателем показывают, что резонансы возникают на частотах 386 Гц и 400 Гц для боковой и верхней панелей соответственно. Трудность в определении подлинных значений для констант, описывающих свойства материала (в данном случае – фанеры, которая имеет не гомогенную структуру), вносит свой вклад в заметные расхождения между результатами теоретических расчетов и экспериментальными данными.
Амплитуда давления воздуха в ящике может быть исследована при помощи теории, разработанной Смоллом. Объединение его формул дает:
PB – среднеквадратичное значение давления воздуха в ящике
VB – объем ящика
ρ - плотность воздуха
c – скорость звука в воздухе
Pа – излучаемая мощность
ω - циклическая частота в установившемся режиме.
По данной формуле рассчитаны зависимости давления внутри корпуса от частоты для разных объёмов ящика.
Вибрации, возникающие из-за силы противодействия динамика
Анализ передней панели громкоговорителя, которая несет на себе динамики, представляет собой гораздо более сложную задачу, нежели для боковых или задней стенок. Мы имеем прямоугольную пластину с отверстием посередине, а также закрепленной там же дополнительной массой (самого излучателя). Пластина испытывает те же нагрузки, которые обсуждались выше, и, кроме них, еще и действие «реактивной» силы динамика. Самое важное, что мы здесь видим применение закона Ньютона, согласно которому всякое действие вызывает противоположную реакцию точно такой же величины. Сила, перемещающая диффузор, обязательно создает противодействие, которое и оказывает дополнительную нагрузку на переднюю панель. Более того, головка сама по себе имеет свою жесткость и массу, которые, в общем случае, отличаются от свойств материала, вырезанного из панели для монтажа динамика. Для исследования этой проблемы десятидюймовый низкочастотник Jensen с массой подвижной системы 20 граммов был смонтирован в центре ¾-дюймовой передней панели вышеописанного корпуса объемом 82 л.При помощи контактного звукоснимателя резонанс вновь был обнаружен на частоте примерно 120 Гц (соответствующей резонансной частоте задней стенки). Однако, второй резонанс (соответствующий основному передней панели), переместился по частоте с 180 Гц до 130 Гц. Несомненно, что с отверстиями для твитеров и портами, теоретическое предсказание резонансной частоты передней стенки становится чрезвычайно трудным, если не невозможным. Говоря в общем, отверстие уменьшает жесткость панели и, соответственно, снижает ее резонансную частоту так же, как и дополнительная сосредоточенная масса по центру.
Вибрации от перемещения других панелей
В ходе экспериментов, описанных выше, было замечено, что когда одна панель корпуса вибрирует на резонансной частоте, сильные вибрации наблюдаются также и у остальных стенок. Хотя мы анализировали панели корпуса как отдельные пластины, на практике они не разделены, а, напротив, прочно соединены друг с другом по углам корпуса. Возможно возникновение таких мод, которые «задействуют» сразу две и более стенки. Тем не менее, предыдущие исследования поддерживают вывод, что частоты основных резонансов отдельных панелей наиболее критичны для корпуса в целом. На средних частотах (скажем, от 500 до 1000 Гц для исследованного нами корпуса) некоторые «смешанные» резонансы, затрагивающие более одной панели, несомненно, присутствовали, но их наличие было признано нестабильным. Дополнительные замечанияСуществуют и другие элементы, влияющие на вибрации стенок окончательно изготовленного корпуса. Они включают в себя демпфирование, внутреннее поглощение и дополнительные ребра жесткости.
Демпфирующий эффект присущ всем материалам и варьируется в широких пределах. Следует обратить внимание на два результата от демпфирования. «Затягивание», или стремление стенок продолжать вибрировать на резонансной частоте после того, как исчезла вызвавшая вибрацию сила, предотвращается или уменьшается высоким демпфированием материала панели. Также демпфирование ведет к снижению вибраций панелей и, следовательно, уменьшению интерференции между переизлученной стенкой акустической энергией и предполагаемым выходным сигналом громкоговорителя. Муар [статья в предыдущем номере JAES] обсуждает демпфирующие характеристики древесины разных пород.
Внутреннее поглощение обеспечивается путем заполнения корпуса звукопоглощающими материалами, такими как стекловата или покрытия стенок корпуса этими же материалами. Таппан показывает, как подобный звукопоглощающий материал может уменьшить резонансный отклик панелей. Несмотря на это, снижение на 1 дБ или около того, достигнутое Таппаном, нельзя признать слишком уж значительным, и во многих случаях заполнение корпуса стекловатой не дает такого ощутимого улучшения, как это порой рекламируется.
Ребра жесткости представляются наиболее эффективным из простых способов уменьшения резонансных эффектов. Принимая во внимание рис. 1, можно заметить, что ребро жесткости, выполненное вдоль длинной стороны панели, действует весьма эффективно и дает увеличение резонансной частоты в 2.5-3 раза по сравнению с панелью без таких элементов. По рис. 2 можно определить, что, если максимальное расстояние между ребрами жесткости уменьшить до 25 сантиметров, то основные резонансные частоты панели поднимутся выше 1000 Гц.
Относительно грамотного размещения ребер жесткости и переборок следует сделать несколько замечаний. Стенки корпуса, идентичного протестированному ранее, были дополнительно укреплены планками из сосны сечением 25х50мм, прикрученными шурупами длиной 25мм с интервалом между ребрами жесткости 75мм. Планки устанавливались длинной стороной перпендикулярно панели. Резонансные частоты возросли лишь слегка (на 10-20 Гц). Это подчеркивает, что ребра жесткости должны быть намного более жесткими на изгиб, и, поскольку условия закрепления краев стенки являются наиболее важными, желательна и более высокая жесткость на кручение. Предполагается также, что возможно использование алюминиевых или стальных элементов корпуса, хотя это еще не было исследовано экспериментально.
В заключение следует заметить, что основные резонансные частоты пропорциональны квадратному корню жесткости панели, деленному на массу панели на единицу площади. Это предполагает, что, используя очень жесткий и одновременно легкий материал, можно увеличить основную частоту за пределы «проблемной области». Использование легких панелей «сэндвичевой» конструкции, как предлагает Таппан, может выполнить эту задачу еще лучше, хотя, опять же, пока не получило подтверждения на практике.
Выводы
Первичная проблема вибраций корпуса вызвана резонансами его стенок. Если подобный резонанс возникает на относительно высоких частотах (выше 1000 Гц), амплитуда вибраций оказывается незначительной.Конструкторам корпусов доступны два параметра – свойства материала и размеры панелей. Для увеличения резонансных частот панелей следует выбирать легкие и жесткие материалы, причем размеры неукрепленных участков нужно стараться сокращать до минимума путем грамотного использования ребер жесткости. Вторым способом уменьшения резонансов является использование звукопоглощающего наполнителя или обивки им стенок, а также применение для панелей материалов с высоким демпфированием. Высокое демпфирование предотвращает возникновение «послезвучий» корпуса.